SABCS 2020中国之声丨齐晓伟教授:HER2阳性且淋巴结阴性早期乳腺癌列线图预后模型的建立与验证

作者:肿瘤瞭望   日期:2020/12/9 11:42:42  浏览量:17334

肿瘤瞭望版权所有,谢绝任何形式转载,侵犯版权者必予法律追究。

编者按:曲妥珠单抗做为抗HER2的基石药物,可显著改善HER2阳性患者的生存。而对于HER2+且LN-患者,是否需要双靶治疗,应根据患者的状况进行进一步探究。为探究HER2+且LN-人群中与生存结果相关的高危因素,陆军军医大学西南医院齐晓伟教授和他的团队从SEER数据库中进行人群筛选,并建立预后列线图模型,以指导该类患者的后续治疗,该研究同时被2020 SABCS大会收录(摘要号:PS10-39,题目:Risk factors for all-cause death and breast cancer-specific death in patients with HER2-positive and lymph node negative breast cancer : A retrospective analysis based on SEER database(2010 to 2017)。

以曲妥珠单抗(H)为基础的单靶治疗可显著改善HER2+乳腺癌患者的预后,但部分人群在治疗数年后仍会发生复发转移,需要强化治疗。APHINITY试验1,2和KAITLIN试验3确立了曲妥珠单抗+帕妥珠单抗(HP)双靶治疗作为HER2+且LN+乳腺癌的标准辅助治疗方案,然而HER2+且LN-的患者是否需要双靶治疗仍存在一定争议。


因此,作者收集了单靶治疗时代来自监测、流行病学和结果(SEER)数据库2010年至2017年(HP双靶治疗获得FDA批准之前)确诊的HER2+且LN-乳腺癌患者的数据,探究该人群中与生存结果相关的高危因素,并建立预后列线图模型,通过筛选生存结局较差的亚组,以期为双靶时代精准治疗提供参考。

 

纳排标准


在SEER数据库中,根据以下标准提取目标人群:(Ⅰ)确诊时间在2010年1月1日至2016年12月31日;(Ⅱ)女性患者;(Ⅲ)经组织学证实的恶性乳腺癌;(Ⅳ)原发灶状态已知,且非原位癌;(Ⅴ)无远处转移;(Ⅵ) HER2+且LN-;(Ⅶ)接受过化疗和乳腺癌切除术;(Ⅷ)生存数据完整且可及;(Ⅸ)有医疗保险;(Ⅹ)所有纳入的患者参数均明确,包括年龄、种族、肿瘤位置、病理分级、临床T分期、激素受体(HR)状态、放疗状态和手术类型。

 

患者特征


表 1:患者人口学和临床病理特征

图片


本研究共纳入13755例早期HER2+且LN-乳腺癌患者,平均年龄55.82岁(IQR,48~64岁)。病理分级为Ⅰ级仅占4.6%,而Ⅱ级(37.0%)和Ⅲ级(58.4%)肿瘤占多数。大多数患者的原发灶为T1期(60.2%),T分期越高,所占比例越低。在激素受体方面,ER+/PR+约占总数的一半(51.7%),而ER+/PR-或ER-/PR+占20.2%,ER-/PR-占28.1%。在手术方式和放疗的选择上,大部分患者行乳房全切术不加放疗(36.7%)或部分乳房切除术加放疗(45.2%)。

 

生存分析


在不同年龄组中,80岁以上年龄组的BCSS(HR=5.22,95%CI:1.19~22.83,P=0.028)与OS(HR=6.20,95%CI:1.87~20.58, P=0.003)风险显著高于其他组,这可能与80岁以上患者固有的高死亡率有关。就种族而言,其他种族与白人种族之间的差异可能与各种复杂的社会经济因素有关,因此不予考虑。T2患者(HR=1.85,95%CI:1.46~2.34,P<0.001)和T3或T4患者(HR=2.38,95%Cl:1.55~3.66,P<0.001)的总死亡风险明显高于T1患者。


在四种激素受体类型中,ER+/PR+状态的死亡风险最低,而ER-/PR-患者BCSS(HR=2.23, 95%CI:1.58~3.15,P<0.001)和OS(HR=1.46,95%CI:1.13~1.90,P=0.004)风险均显著升高。行部分乳房切除术不加放疗(HR=1.95,95%CI:2.61~1.45,P<0.001)和乳房全切加放疗(HR=1.70,95%CI,2.59~1.12,P=0.013)的全因死亡风险比对照组(乳房全切不加放疗)更高,而行部分乳房切除术加放疗(HR=0.69, 95%CI:0.91~0.52,P=0.008)比对照组死亡风险低。


图片

图 1:乳腺癌相关生存(BCSS)与总生存(OS)的多因素Cox回归森林图

 

列线图建立与验证

 

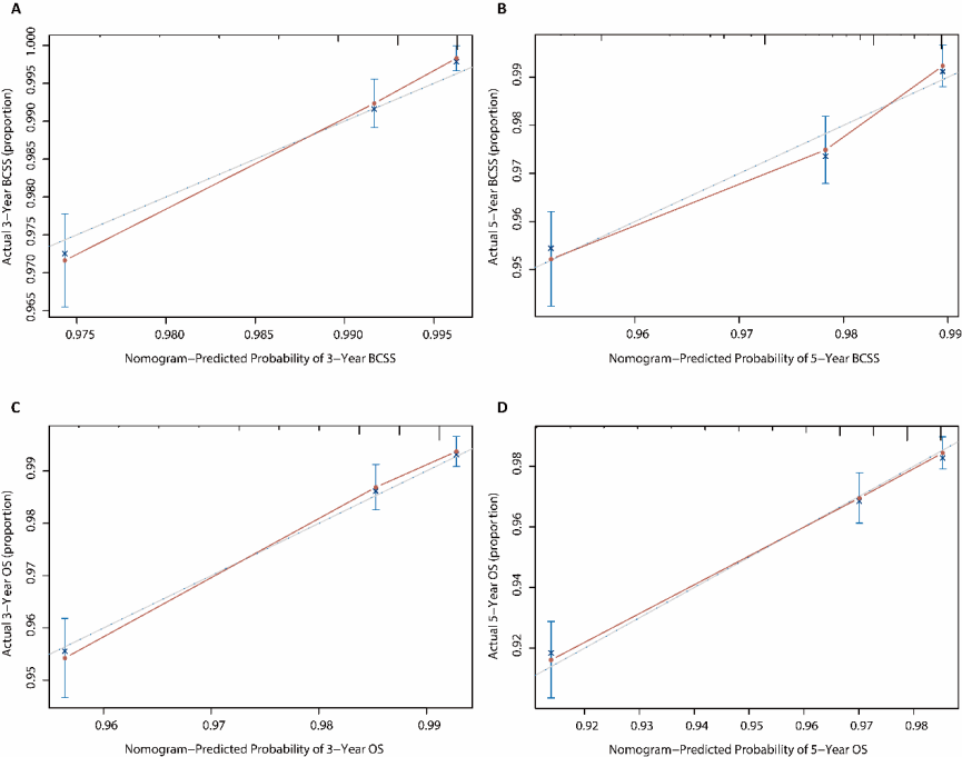
本研究使用多因素Cox回归筛选出与生存结局相关的变量建立了3年和5年BCSS与OS预后列线图(图2),采用bootstrap法进行内部验证,列线图证实了列线图预测的生存率与实际生存率具有很好的一致性(图3)。计算得到BCSS和OS的C-index分别为0.773(95%CI:0.740~0.806)和0.764(95%CI:0.737~0.791),同样证实了模型的可信度。


图片图 2:乳腺癌相关生存(BCSS)与总生存(OS)的3年与5年预后列线图


图片

图 3:列线图的校正曲线

 

研究结论与展望


在HER2+且LN-乳腺癌患者中,T分期高,HR-和行乳房部分切除术不加放疗的患者的BCSS和OS较差。预后列线图可用于临床实践,根据临床病理变量评估HER2+且LN-乳腺癌患者的个体生存风险,作者建议列线图总分高的患者(T3或T4期、ER-/PR-、行乳房部分切除术不加放疗)进行双靶(HP)辅助治疗。


参考文献
1、von Minckwitz G, et al. N Engl J Med. 2017;377(2):122-131.
2、Martine P, et al. GS1-04. SABCS 2019.
3、Nadia H, et al. J Clin Oncol 38: 2020 (suppl;abstr 500)


专家简介

图片

齐晓伟

陆军军医大学西南医院乳腺甲状腺外科副主任/主任助理

医学博士,副主任医师、副教授,硕士研究生导师,耶鲁大学访问学者

2017年中国医师协会全国中青年医师乳腺癌手术比赛季军

2019年中国临床肿瘤学会“35 under 35”全国“最具潜力青年肿瘤医师”

中华医学会肿瘤学分会乳腺肿瘤学组青年委员

中国医师协会乳腺外科医师协会青年委员

中国抗癌协会肿瘤标志专业委员会青年委员

重庆市医学会肿瘤学专业委员会乳腺癌学组副组长

《中华乳腺病杂志》、《中华肿瘤防治杂志》、《中国普通外科杂志》青年编委,《中华普外科手术学杂志》编委

主持国家自然科学基金等各级课题15项,在Cancer Research、Oncologist、Am J Cancer Res等杂志发表SCI论文20余篇

获发明专利8项,参编专著5部,获陆军军医大学临床新技术二级甲等1项

获全军优秀共青团员、重庆市优秀博士及陆军军医大学优秀人才等称号

本内容仅供医学专业人士参考


曲妥珠单抗

分享到: 更多