ASH中国之声丨姜尔烈教授团队:全方位探索,改善allo-HSCT患者的预后

作者:  Kenza  Mourabit   日期:2023/12/22 11:59:12  浏览量:13362

肿瘤瞭望版权所有,谢绝任何形式转载,侵犯版权者必予法律追究。

异基因造血干细胞移植(allo-HSCT)是目前可能治愈血液系统恶性肿瘤的重要手段,但复发仍是患者移植失败、死亡的主要原因。加强移植后复发的防治具有重要的临床意义,特别是在高危急性髓系白血病(AML)、骨髓增生异常综合征(MDS)等患者中。在2023第65届美国血液学年会(ASH)上,中国医学科学院血液病医院移植中心姜尔烈教授团队报告了3项研究,分别对预防高危患者allo-HSCT复发的维持治疗方案、影响FLT3-ITD突变AML患者移植结局的主要因素以及针对移植后感染的预防方案进行深入探讨。本刊特邀请姜教授为我们分享并解读这几项研究,以期为临床实践提供参考。

编者按:异基因造血干细胞移植(allo-HSCT)是目前可能治愈血液系统恶性肿瘤的重要手段,但复发仍是患者移植失败、死亡的主要原因。加强移植后复发的防治具有重要的临床意义,特别是在高危急性髓系白血病(AML)、骨髓增生异常综合征(MDS)等患者中。在2023第65届美国血液学年会(ASH)上,中国医学科学院血液病医院移植中心姜尔烈教授团队报告了3项研究,分别对预防高危患者allo-HSCT复发的维持治疗方案、影响FLT3-ITD突变AML患者移植结局的主要因素以及针对移植后感染的预防方案进行深入探讨。本刊特邀请姜教授为我们分享并解读这几项研究,以期为临床实践提供参考。
 
高危AML、MDS及CMML患者移植后应用阿扎胞苷联合维奈克拉与单药阿扎胞苷维持治疗的前瞻多中心随机对照临床研究
第一作者:曹易耕
通讯作者:姜尔烈
 
背景:疾病复发是高危AML和MDS移植失败的主要原因。迫切需要探索创新方法来预防allo-HSCT后AML和MDS复发。
 
bcl-2抑制剂维奈克拉(VEN)和阿扎胞苷(AZA)对髓系肿瘤均具有显著的抗肿瘤活性。AZA单独作为移植后维持治疗的有效性和安全性已有报道,但结果存在争议。VEN和AZA联合治疗AML患者的反应率很高。我们进行了一项前瞻临床研究,比较VEN和AZA联合(VEN/AZA)和AZA单药作为移植后高危MDS、AML患者维持治疗的有效性和安全性。
 
方法:这是一项前瞻性、多中心、随机临床试验。根据中心随机化系统,评估为复发高风险并接受allo-HSCT的MDS、AML患者,按性别、年龄和疾病类型随机分为VEN/AZA组和AZA组。AZA以50 mg/m2的剂量皮下注射5天。从第1天到第7天,给药剂量为200 mg/天。VEN/AZA维持治疗方案由AZA和VEN每月交替使用组成。单用AZA组每2个月给予一次AZA。
 
结果:从2022年6月到2023年6月,24名患者接受了研究方案。9例患者(6例AML,3例MDS)接受VEN/AZA维持,15例患者(7例AML,8例MDS)仅接受AZA维持。移植后接受维持治疗的中位初始时间为3.67个月。中位随访时间为11.30个月(95%CI,8.18-14.42)。在研究中,仅1例患者复发并在复发后3个月死亡。VEN/AZA组和AZA组500天总生存率(OS)和累积复发率(CIR)分别为100%vs.75.0%(95%CI:42.59%~100%,P=0.39)和0%vs.12.5%(95%CI:0.48%~44.48%,P=0.39)。最常见的不良反应是血液毒性。VEN/AZA组3级或4级血液学毒性为5/9(55.5%),AZA组为7/15(46.7%)。
 
 
结论:该研究结果表明,VEN/AZA和AZA维持治疗都是可耐受的,VEN和AZA联合作为维持治疗在移植后预防高危MDS、AML患者复发可能是可行和安全的。
 
2022 ELN风险分层下FLT3-ITD突变AML患者移植后临床结局及预后因素分析
第一作者:梁晨
通讯作者:姜尔烈
 
背景:2022年欧洲白血病(ELN)诊疗指南对AML预后分层进行了重要更新。AML合并FLT3-ITD突变被划分为预后中等组,而不再考虑FLT3-ITD等位基因比率或者是否合并NPM1基因突变,这主要是基于FLT3-ITD等位基因比率检测方法的改进、FLT3抑制剂的广泛使用以及MRD检测对治疗方案选择的指导等。
 
目标与方法:本研究旨在新修订AML预后分层指导下,研究异基因造血干细胞移植治疗FLT3-ITD突变AML患者生存结局,并分析影响移植预后的危险因素。研究共纳入我中心2017年至2022年间接受异基因造血干细胞移植的163例FLT3-ITD突变AML患者,对患者基线临床资料、细胞及分子遗传学特征、诊疗过程和临床结局进行回顾性分析。
 
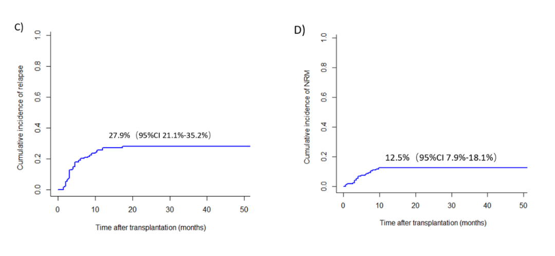
结果:患者中位年龄37岁,其中同胞全合移植57例,无关供者移植9例,单倍体移植97例。患者接受改良Bu/Cy/Flu/Ara-c(白消安/环磷酰胺/氟达拉滨/阿糖胞苷)或MCBC(美法仑/克拉屈滨/白消安/环磷酰胺)等清髓性预处理方案。至随访结束,107例患者生存,44例患者复发。存活患者中位随访时间为24.9个月。2年无复发生存率(RFS)和总生存率(OS)分别为67.2%和71.9%。2年累积复发率和无复发死亡率分别为27.9%和12.5%(图1)。根据2022年ELN指南更新,中危组患者比例由35%上升至63.2%(图2)。预后中等及高危组患者移植后生存结局无显著统计学差异(图3),但合并FLT3-ITD高等位基因比率患者更有可能从移植后FLT3抑制剂等维持治疗中获益(P=0.048)。在单因素分析中,NPM1基因突变和FLT3-ITD等位基因比率不影响任何移植结局。在多因素分析中,移植前微小残留病(MRD)阴性、移植后合并慢性移植物抗宿主病以及进行移植后维持治疗可以明显改善患者OS和RFS。
 
图1
 
图2
 
图3
 
研究者观点:allo-HSCT可以克服FLT3-ITD突变AML患者的不良预后。起病时NPM1突变和FLT3-ITD等位基因比率均未影响患者生存。影响移植结局的主要预后因素包括移植前MRD水平和移植后进行维持治疗。因此,采用FLT3抑制剂进行移植后维持治疗,以及高灵敏度MRD检测手段的应用将进一步减少疾病复发并改善患者生存。
 
姜尔烈教授
医学博士,主任医师,博士生导师
中国医学科学院血液病医院(中国医学科学院血液学研究所)干细胞移植中心主任
中华医学会血液学分会造血干细胞应用学组副组长
中国抗癌协会血液肿瘤专业委员会常务委员,造血干细胞移植与细胞治疗学组副组长
CSCO自体造血干细胞移植工作组副组长
天津市抗癌协会常务理事
天津市血液与再生医学学会副理事长
中华血液学杂志、中国综合临床、白血病&淋巴瘤等杂志编委

 

 

 

 

 

 

本内容仅供医学专业人士参考


白血病

分享到: 更多