当前位置:肿瘤瞭望>资讯>正文

益普生直击ENETS 2020丨洞悉风向,李洁教授和陆明教授梳理化疗、SSA研究热点

作者:肿瘤瞭望   日期:2020/3/18 19:47:51  浏览量:21008

肿瘤瞭望版权所有,谢绝任何形式转载,侵犯版权者必予法律追究。

2020年第17届欧洲神经内分泌肿瘤学会年会(ENETS Annual Conference 2020)正在如火如荼进行中。

温馨提示

以下内容仅限医疗卫生专业人士学术交流使用,如为非医疗卫生专业人士请主动退出浏览与阅读,否则由此产生的相关风险与后果应自行承担。
 
2020年第17届欧洲神经内分泌肿瘤学会年会(ENETS Annual Conference 2020)正在如火如荼进行中。《肿瘤瞭望》特邀该领域的学术大咖北京大学肿瘤医院李洁教授分享ENETS在化疗领域的热点内容,特邀北京大学肿瘤医院陆明教授分享NET内科治疗中生长抑素类似物(SSA)相关研究的热点内容。

神经内分泌肿瘤药物治疗包括化疗、靶向和免疫治疗等多个种类,请您谈一谈化疗在临床实践中的定位
 
李洁教授:化疗主要用于分化差的神经内分泌癌(NEC)和NET G3的治疗,因此,谈及化疗在神经内分泌肿瘤治疗领域的定位,我们首先要思考这部分类型的占比情况,但目前对于这个问题仍没有确切答案,因为缺乏大样本的流行病学数据。神经内分泌癌的占比在不同类型的医院的数据有所不同,比如在北京大学肿瘤医院这样的肿瘤专科医院的病例中,分化差的神经内分泌癌占比可高达50%,但从其它医院报道的数据来看,这类患者的占比可能不超过1/3。
 
当然,化疗不仅仅可用于治疗神经内分泌癌,亦可以考虑用于特定部位的神经内分泌瘤,比如原发于胰腺的分化好神经内分泌肿瘤也可以考虑化疗。

您最关注今年ENETS大会报道的哪些化疗领域的研究?
 
李洁教授:从本届年会的研究投稿上来看,药物治疗领域可期待的或新药研究结果基本没有。我着重阅读了若干篇化疗相关的摘要,这些摘要所关注的问题也是目前神经内分泌肿瘤化疗领域广泛关注的问题:
 
顺铂或卡铂联合依托泊苷方案目前是神经内分泌癌推荐的一线治疗方案。对于一线化疗后进展的患者,二线治疗有效的数据较少,这部分患者应选择何种二线治疗方案是备受关注的问题。来自意大利的一项单中心研究采用了伊立替康为基础的二线化疗方案(图1),该方案治疗肺外神经内分泌癌的客观有效率为20%,疾病控制率达到60%(图2);但该研究仅纳入了15例患者[1]。
 
图1. 研究设计
 
图2. 伊立替康为基础的二线化疗方案的治疗反应
 
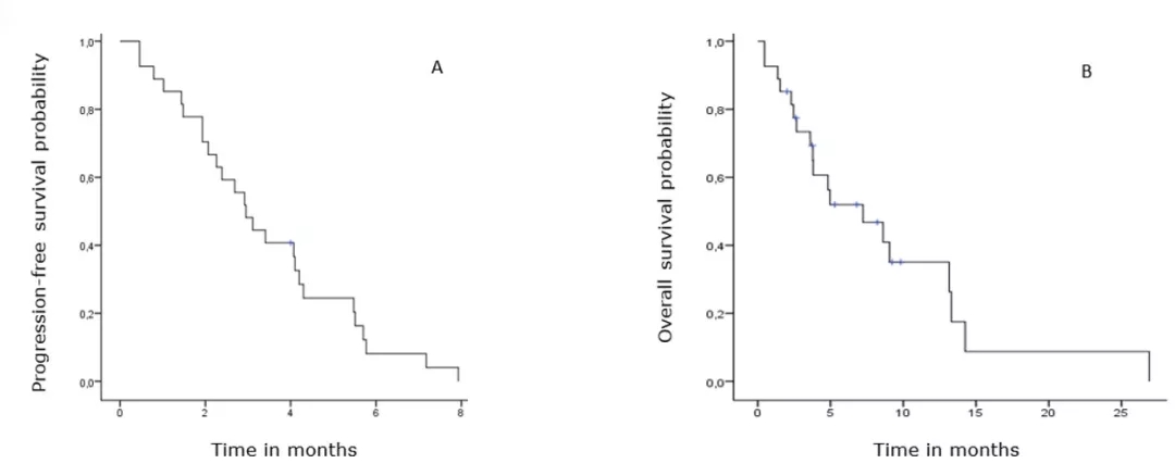
来自法国的研究则采用了烷化剂—给予患者达卡巴嗪或替莫唑胺为基础的二线化疗方案, 无进展生存期(PFS)和总生存期(OS)分别只有3.0个月和7.2个月(图3),研究也证实该方案可使一半患者出现短暂的临床治疗缓解和/或三分之一的患者出现形态学缓解(图4)[2]。本届ENETS年会发布的部分研究探讨了铂类为基础的二线化疗方案,但是样本量都比较小。
 
图3. 达卡巴嗪或替莫唑胺为基础的化疗的PFS(A)和OS(B)
 
图4. 达卡巴嗪或替莫唑胺为基础的二线化疗方案的治疗反应
 
图5. 治疗相关不良反应
 
在我们中心,对于恶性度高的神经内分泌癌患者,我们也常规采用以铂类为基础的一线化疗方案,目前也在采用其它方案进行一线化疗,比如伊立替康联合顺铂治疗,而且还开展了与顺铂联合依托泊苷方案的前瞻性随机对照研究。针对这类患者一线化疗进展后采用何种二线方案的问题,我们也已经开展了若干项临床试验,比如采用伊立替康或奥沙利铂为基础的二线化疗方案展开探索。

本届ENETS是否发布一些可指导临床实践的内容,比如日本指南更新会对临床有哪些影响?
 
李洁教授:由于时间的原因,我本人还未查阅日本新版指南的原文。但从摘要来看,日本新版指南可能是对目前国际上认可的治疗策略进行采纳和更新[3]。比如,指南更新了依维莫司在神经内分泌肿瘤治疗中的适应征;针对直径小于1cm的胰腺神经内分泌肿瘤,推荐了对无症状的局限性肿瘤先采用随访观察的策略,这一点与2020 ENETS年会第一天会议中法国学者提到的观点一致。总的来说,日本指南并未提出更多新的观点,应该不会较多地改变目前临床实践。

对于神经内分泌肿瘤而言,化疗是一种古老又年轻的治疗模式,目前化疗面临哪些瓶颈,未来可能的研究方向有哪些?
 
李洁教授:通过检索美国临床试验数据库(Clinical Trials),我们可以看到目前关于神经内分泌肿瘤药物治疗的注册临床试验,部分与化疗相关。但是,化疗相关临床试验所用药物多为烷化剂,新的化疗药物相关研究较少。此外,来源于不同部位的肿瘤治疗选择应更加细化,有报告指出,结直肠神经内分泌癌的恶性度较其它部位的神经内分泌癌可能更高,或需要采用不同的化疗方案,但现实情况是,不同部位的神经内分泌肿瘤的治疗方式并未做太多区分。在其它癌种,比如胃腺癌和结直肠腺癌的治疗药物选择虽有所重叠,但不同癌种对应的治疗方案会有的明显区分,这与NEC的治疗现状是不同的。
 
对于化疗的研究方向,除了创新药物的研发,很多研究正在尝试为传统化疗药物探索寻找新的适应症,药物方案的再优化也是一个重要的方向。由于免疫检查点抑制剂单药治疗在神经内分泌肿瘤的效果不尽如人意,通过借鉴免疫联合化疗在小细胞肺癌领域的成功经验,很多研究者在神经内分泌肿瘤中探索了免疫与化疗或其它药物联合的治疗方案。
 
国外的多数临床试验是通过多中心合作开展,但国内的临床试验却多为单中心。由于神经内分泌肿瘤为相对罕见的肿瘤,且单中心试验结果的证据级别相对较低,偏倚较大。中国的患者人群较欧美国家大的多,我们国内各中心应该团结协作,开展更多的前瞻性多中心临床试验,创造更多的来自中国的高级别循证医学证据,为改变神经内分泌肿瘤治疗现状做出贡献。

神经内分泌肿瘤的药物治疗选择包括多个种类,请您谈一谈SSA在目前临床实践中的定位
 
陆明教授:首先,组织学分化好的神经内分泌肿瘤,尤其是G1/G2分级的,具有良好的生物学行为及临床特征,生长缓慢,与其他恶性肿瘤相比,可以视为是一种慢性病。对于这类肿瘤患者的治疗,一方面要考虑积极控制肿瘤进展,另一方面还要尽最大可能保证生活质量,不影响正常的生活和工作。
 
目前国内上市的SSA有兰瑞肽和奥曲肽两种,二者的疗效和安全性在各自的临床研究中已被证实,除了具有控制激素过度分泌的相关症状(腹泻、潮红等)之外,还有控制肿瘤生长的作用,可以进一步延缓神经内分泌瘤的进展速度,同时相对于其他靶向药物和化疗药物,其安全性比较好,除了小部分病人可能在短时间出现一些消化道症状外,患者基本都能够耐受;此外SSA治疗比较方便,不需要输液,只是进行肌肉或皮下注射即可,能最大限度的减少对病人日常生活的影响。因此,目前SSA在国内外应用最为广泛,是神经内分泌瘤药物治疗的首选一线药物。

2020 ENETS年会发布了哪些重要的SSA相关研究?
 
陆明教授:因为SSA这类药物是目前神经内分泌瘤治疗最主要的药物,因此,目前涉及SSA的研究也比较多。本届年会发布的SSA相关的研究有20多篇,而且很多是基于不同角度(医生、护士、患者等)的研究,值得一提的是:此次大会唯一一篇主席推荐摘要就是一篇SSA治疗相关的研究。分享一下我感兴趣的研究:
 
一项研究关注了SSA在Ki67>10%的神经内分泌肿瘤中的治疗作用,因为既往SSA的III期研究入组的都是Ki67<10%的这部分病人,缺少在Ki67≥10%这部分病人的数据。今年ENETS的一篇涉及9个中心的回顾性研究纳入59例中位Ki67水平为15%(范围为10%-35%)的转移性胰腺神经内分泌瘤患者,接受兰瑞肽和长效奥曲肽治疗,患者的中位PFS为11.9个月,5年OS达到64.2%,其中G2组的PFS为12.2个月,G3 组4.7个月。研究还针对肝转移负荷情况进行了分析,对于肝转移负荷比较小的人群,PFS超过12个月(图6)。结合不久前闭幕的ASCO-GI大会发布的一篇关于针对NET-G3病人SSA治疗的梅奥中心的研究结果,今年ENETS上的研究至少可以提示,SSA在Ki67>10%的NET-G2患者也是有效的,尤其是肿瘤负荷比较小的病人,而NET-G3这类肿瘤进展普遍相对较快,SSA的治疗作用有限,只有一少部分患者可以获益,单独应用还需要慎重[4]。
 
图6. 整体人群的生存结果以及不同肿瘤分级、肝转移负荷亚组的生存结果
 
还有一项研究探讨了≤2 cm胰腺NET是否有必要用SSA类药物进行干预。因为这部分小肿瘤的生长非常缓慢,是否手术始终存在一定争议,欧洲一般是不主张手术切除,主要管理方法是定期的复查,那么这部分患者是否需要SSA类药物干预呢?今年ENETS的这篇研究入组了41例散发的胰腺NET患者,SSA组24例,主动监测(AS)组17例。平均随访45.2个月,SSA组患者没有出现疾病进展(PD), AS组有6例PD。SSA组(未达到中位)的PFS明显长于AS组(估计47.9个月) (HR=0.39;95%CI: 0.25-0.90,p=0.001)。AS组一例患者死于PD。SSA组6例(25%)得到了部分缓解。相对于AS组, SSA组的治疗耐受性良好,生活质量无恶化。这篇研究提示我们,对于这类小肿瘤的胰腺NET,如果手术创伤大,或者因为年龄、基础疾病等因素,患者不适合直接手术,可以选择SSA类药物治疗[5]。
 
另一项真实世界研究也非常值得关注,国内三家医院针对胰腺神经内分泌瘤术后是否需要辅助SSA治疗开展回顾性研究,神经内分泌肿瘤术后是否需要SSA治疗的争议也很大,但又很难开展大样本回顾性试验。这项研究里入组了237例胰腺神经内分泌肿瘤术后患者,其中66例接受了至少6个月的SSA辅助治疗,171例没有接受治疗,接受治疗组的术后病理脉管神经侵犯更多,意味着危险因素更高一些。研究发现,在无病生存率(DFS)和总生存(OS)方面,SSA治疗组显著优于未治疗组(图7);尽管两组的中位DFS还未到达,SSA治疗组的24个月DFS率(95.5% vs. 85.4%)、36个月DFS率 (93.9% vs. 81.3%)和60个月DFS率(90.9% vs.76.0%) 显著优于未治疗组(p<0.05);中位OS均未达到,60个月OS率也明显高于对照组(98.5% vs. 90.6%, p=0.0546)。这项研究结果发现,术后辅助SSA治疗有可能改善此类病人预后,这就是这项回顾性研究对临床实践的提示性意义[6]。
 
图7. 60个月DFS率和OS率
 
在神经内分泌肿瘤领域,关于未来SSA的临床应用和治疗创新有哪些可能的研究方向?目前国内与国外是否存在很大的差距?
 
陆明教授:未来方向上,首先一个就是SSA类药物一线治疗进展后,增加剂量是否能够进一步延长肿瘤控制时间的问题,这方面既往的NETTER-1研究已经间接说明增量后能够进一步控制肿瘤进展,而国内外临床上都有进行增量治疗的实践应用,安全性较好,但目前还缺乏前瞻性研究数据。目前国外长效兰瑞肽的加量研究正在进行,未来会为我们解答这个问题。
 
SSA类药物与其他治疗联合的问题,尤其是一线进展后是直接换其他药物还是保留SSA的同时联合其他药物,目前也存在争议。我们从国外的研究中可以发现,换其他药物治疗后继续SSA类治疗的应用比例还是比较高的,国外更倾向这种联合应用。但要想解决争议,设计良好的针对性的研究还是需要的。
 
另一个研究方向是疗效评估的生物标志物研究,这方面国外开展的研究比较多,例如RNA和ctDNA检测方面的研究,但目前多仅限于科研方面,距离临床应用还有很长的距离。SSA类药物疗效与肿瘤SSTR表达程度的关系也是一个研究方向,镓68PET-CT检测结果与药物疗效是否有关系也是未来值得观察和探索的内容。
 
在药物创新方面,SSA这类药物的创新方向无非就是“增效减毒”。参考其他肿瘤治疗领域的新药研发,我们是否有可能利用这类受体亲和机制开发出来偶联制剂,达到靶向治疗的效果,可能也是一个重要的研究方向。
 
谈到国内外的差距,神经内分泌肿瘤的研究10年前主要是在国外开展,国内在2010年左右开始关注这个疾病,中国的医生也正通过不断参加各种国际国内会议交流进行学习提高,而且中国的患者量要远远超过欧美国家,使得国内医生的专业临床经验积累迅速,治疗理念和临床诊治能力上是不逊于欧美国家的;再加上国内近些年医疗领域研究的突飞猛进,从过去参与国际研究,到现在我们自己开展NEN领域药物临床试验并不断获得好的结果,我们已经开始逐渐影响到国际上这类疾病的诊疗规范。当然,差距还是存在的,尤其是在基础研究和新药研发方面,国内的投入还是比较小,这也与这类肿瘤相对于其他肿瘤的发病率低有关。
 
专家简介
参考文献
1.Bardasi C et al. Irinotecan-Based Regimens for the Second-Line Treatment of Extrapulmonary Poorly Differentiated Neuroendocrine Carcinomas: A Monocentric Experience. ENETS Annual Conference 2020, abstract (H03)
2. Couronne T et al. Dacarbazine- or Temozolomide-Based Chemotherapy in Metastatic Digestive Neuroendocrine Carcinomas in Post First-line Chemotherapy: A Retrospective Multicentric Study of the French Group of Endocrine Tumours (GTE) . ENETS Annual Conference 2020, abstract (H08)
3. Ito T et al. The Second Revision of Clinical Practice Guidelines in GEP-NEN in Japan. ENETS Annual Conference 2020, abstract (H17)
4. Merola E et al. Somatostatin Analogs for Pancreatic Neuroendocrine Tumors: Is There Any Benefit When Ki-67 Is ≥ 10%. ENETS Annual Conference 2020, abstract (H20)
5. Schinzari G et al. Somatostatin Analogs or Active Surveillance in Sporadic NonFunctioning Pancreatic Neuroendocrine Tumors. ENETS Annual Conference 2020, abstract (H27)
6. Shi X, et al. Using Long-Acting Somatostatin Analogue as Adjuvant Therapy for Post Resection Grade 2 Pancreatic Neuroendocrine Tumor: Interim Results from an Ongoing Multicenter Real-World Study in China. ENETS Annual Conference 2020, abstract (H28)
 
声明
本视频/资讯/文章是由益普生医学团队编辑/医疗卫生专业人士撰写提供,旨在用于医疗卫生专业人士间的学术交流,不支持以任何形式转发给非医疗卫生专业人士;如有违反,责任自负;转发给其他医疗卫生专业人士时,也请自觉保护知识产权。

本视频/资讯/文章的内容不能以任何方式取代专业的的医疗指导,也不应被视为诊疗建议。内容中出现任何药品并非为广告推广目的,医疗卫生专业人士如进行处方,请严格遵照该药品在中国批准使用的说明书。益普生不承担任何相关责任。
 
DR-CN-000441,DR-CN-000442

本内容仅供医学专业人士参考


ENETS

分享到: 更多