当前位置:肿瘤瞭望>资讯>正文

诺华NET之声丨神经内分泌肿瘤文献速递与专家点评(21)

作者:肿瘤瞭望   日期:2021/7/6 10:43:29  浏览量:14285

肿瘤瞭望版权所有,谢绝任何形式转载,侵犯版权者必予法律追究。

编者按:第21期“诺华NET之声”特制作为胰腺神经内分泌瘤(PanNET)专刊,为读者精选了PanNET领域新近发表的6项研究,对PanNET的转移和复发风险预测,以及小PanNET的临床决策等有积极启发。其中,复旦大学附属肿瘤医院虞先濬教授、王文权教授团队发表于J Gastroenterol 的研究为PanNET术后患者提供了一种新的早期复发预测模型。本栏目特邀王文权教授对该研究进行点评,欢迎各位读者学习交流。

目录



1.一种新的危险因素组预测已切除的胰腺神经内分泌肿瘤的早期复发

A novel risk factor panel predicts early recurrence in resected pancreatic neuroendocrine tumors


J Gastroenterol  [IF=5.825]


胰腺神经内分泌肿瘤(PanNET)是源自胰岛神经内分泌细胞的惰性胰腺肿瘤。到目前为止,还缺乏可靠的预测因素来识别肿瘤治愈性切除后的高风险复发患者。本研究旨在确定高风险PanNET的独立预测因素和术后的患者结局。


研究分析了319名(推导队列,队列1)和106名(验证队列,队列2)接受胰腺切除术的PanNET患者的相关临床病理参数。使用Cox回归评估了肿瘤特征与无复发生存(RFS)和总生存(OS)的关系。


结果提示,PanNET 3级(G3)、胰腺导管扩张和周围神经侵犯是RFS的独立预后因素,与PanNET治愈性切除后的早期(1.5年内)复发显著相关(P值分别为:P=0.019, P < 0.001, 和 P < 0.001)。利用这些因素,我们建立了一个新的风险因素组(R-panel),它可以预测早期复发(P < 0.001,HR=15.02,95%CI:5.76~39.19)。这个R-panel的预测准确性很好,其C-index为0.853,高于AJCC TNM分期(0.713)。我们进一步建立了一个结合R-panel评分和TNM分期的综合分期系统,可提高TNM分期的预测概率。最后,我们的分析表明,在具有上述危险因素的患者中,用长效生长抑素类似物(SSA)进行辅助治疗可显著减少术后复发(P < 0.001),并延长长期生存(P=0.021)。


总之,该研究确定了一个新的风险因素组,其中包括PanNET G3、胰腺导管扩张和周围神经侵犯;该风险因素组可预测PanNET治愈性切除后的早期复发。具有这些风险因素的患者可以从长效SSA的辅助治疗中获益。


图1. 不同风险因素亚组的无复发生存和总生存(推导队列1)

推导队列1中不同风险亚组(即I,无风险因素;II,1个风险因素;III,2个风险因素;IV,3个风险因素)患者的(a)无复发生存和(b)总生存曲线,这些风险亚组是基于以下早期复发预测因素组合而成:PanNET G3,胰管扩张和神经周围浸润


图2. 术后早期复发的预测

(a)危险因素组合(R-panel)评分预测术后早期复发的诺莫图描述;(b)R-panel评分的ROC分析以确定最佳临界点,旨在确定早期复发的高危患者。在a中,总分来自存在或不存在每个风险因素的评分点,并反映早期复发的概率。在b中,ROC曲线下面积为0.865


专家点评


王文权,复旦大学附属肿瘤医院


PanNET根治性术后辅助治疗是近年神经内分泌肿瘤的研究热点。尽管越来越多的证据揭示了术后复发与转移的风险,G2及以上、肿瘤>4cm、脉管癌栓、淋巴结转移等术后复发高危因素也一再被提出,但截止到目前国际与国内指南仍未将PanNET根治性术后辅助治疗作为常规推荐的治疗方案。探索辅助治疗的临床获益,明确辅助治疗的潜在获益人群始终有待解决。


随着根治术后PanNET患者预后研究的逐步深入,近期复发(Early Recurrence,ER)和远期复发(Late Recurrence, LR)的概念被提出。近日,来自美国NET研究学组研究结果显示,ER人群的中位复发后生存期(PRS,Post-Recurrence Survival )显著低于非ER人群(42.6 月 vs 81.5月,P=0.04)。因此,如何术后更早识别出ER高危人群显得尤为重要。


通过对我中心2007年至2019年临床数据的回顾,我们应用PanNET肿瘤的临床、病理特征进行预后分析,结果显示:病理学分级G3、胰管扩张和侵及周围神经是三个与术后近期复发、死亡显著相关的高危因素,可以作为近期复发的独立预测因子。我们进而基于三个高危因素建立了R-Panel(近期复发预测评分系统),在R-Panel中,全部样本依据伴有高危因素的个数分成Ⅰ-Ⅳ四个亚组,K-M生存分析显示高危因素越多、预后越差。随后我们将R-Panel与AJCC TNM分期系统进行整合,建立了具有更高预测效能的创新综合分期体系。


除此之外,我们还对伴有高危因素人群的临床干预进行了分析。结果显示高危患者(G3和/或胰管移管扩张和/或侵及周围神经)应用长效SSA辅助治疗,术后RFS与OS显著高于未行辅助治疗者,中位RFS:30.1月 vs 11.0月,P<0.05;中位OS:44.5月 vs 23.9月,P=0.021。


多年以来,胰腺神经内分泌瘤根治性切除术后辅助治疗始终是一个悬而未决的临床痛点。由于疾病本身的罕见性和较长的复发与生存周期,验证辅助治疗是否能够给患者带来收益非常艰难,明确识别出从辅助治疗中获得最大收益的患者类型更是难上加难。我们的研究建立了近期复发患者的识别模型,同时找到了可以有效预防短期复发的临床干预措施。虽然本研究只基于单中心数据,但却可能是现阶段可以获得的最佳证据,可以作为进一步临床探索的参考。当然,临床的探索永远不会停止,我们依然需要更多前瞻性、随机对照试验来验证我们的结论。


2.应用深度学习图像分析预测胰腺神经内分泌肿瘤的转移风险

Predicting Metastasis Risk in Pancreatic Neuroendocrine Tumors Using Deep Learning Image Analysis


Front Oncol. [IF=4.848]


PanNET是胰腺肿瘤的第二常见类型,其预后差异显著,高达15%的患者发生转移。尽管PanNET的某些形态学特征与患者预后相关,但目前还没有基于形态学的预后标志物。鉴于目前的临床组织病理学指标无法识别高危PanNET患者,因此需要开发准确的预后生物标志物。这项发表在Front Oncol 的研究,描述了一种新的机器学习,使用来自整个组织切片形态学信息的多分类通道来预测转移风险。


使用89例PanNET患者手术切除组织的数字图像。提取病理学家注释的区域以训练卷积神经网络(CNN)来识别由PanNET、间质、正常胰腺实质和脂肪组成的切片。计算注释癌症或间质切片和患者转移状态被用来训练CNN计算基于区域的转移风险评分。对整个切片的转移概率得分进行汇总,以预测转移风险。


结果显示,CNN对不同组织的鉴别能力较高(每片准确率>95%,全片肿瘤区域Jaccard指数=79%)。当研究者比较发生转移患者和未发生转移患者的组织时,具有高评估概率的癌症和间质部分的F1得分分别为0.82和0.69。最终模型确定了低风险(n=76)和高风险(n=13)患者,以及校正常见临床病理变量后预测的无转移生存率(风险比:4.71),尤其是在I/II级患者中。


综上,本研究中新的、多分类的、深度学习通道利用手术切除的PanNET的切片,能够预测PanNET患者的转移风险。本研究结果提示PanNET组织中存在预后形态学模式,这些模式可能有助于指导临床决策。


图3. 不同切片的转移风险


图4. PanNET转移风险预测模型的单变量和多变量分析:(A) 所有患者和(B)低级别(I/II)患者。研究的最终模型是根据LOOCV在测试切片上的性能从其他模型中选择的决策树


3.胰腺神经内分泌肿瘤术后淋巴结转移的系统综述与Meta分析

Systematic Review and Metaanalysis of Lymph Node Metastases of Resected Pancreatic Neuroendocrine Tumors


Ann Surg Oncol.  [IF= 4.061]


PanNET的最佳手术方案尚不清楚。然而,目前指南建议对无功能的小PanNET(NF-PanNET)采用观察等待策略。这项发表在Ann Surg Oncol 的研究,旨在探讨PanNET淋巴结转移(LNM)的危险分层及预后意义,以指导淋巴结清扫的决策。


在MEDLINE和Web of Science数据库中系统地检索报告切除PanNET中LNM危险因素或LNM患者生存率的研究。根据肿瘤特征计算LNM的加权平均发生率。进行随机荟萃分析,计算合并风险比(HR)及其95%置信区间(CI),以确定LNM对总生存(OS)的影响。在亚组分析中,评估NF-PanNET。


研究纳入5883篇文献中,包括98篇回顾性研究的13374例PanNET切除术患者。所有PanNET中,小PanNET(≤ 2cm)的加权中位LNM率为11.5%,G1 PanNET的加权中位LNM率为15.8%。NF-PanNET中,小PanNET的LNM率为11.2%,G1 PanNET为10.3%。所有PanNET(HR 3.87,95%CI 3.00–4.99,P<0.001)和NF-PanNET(HR 4.98,95%CI 2.81–8.83,P<0.001)的LNM与更差的OS相关。


综上,LNM也可能普遍存在于小肿瘤且分化良好的PanNET中,并且与更差的预后相关。应该重新评估小NF-PanNET的观察和等待策略,患者可以考虑肿瘤切除和淋巴结清扫。未来需要开展前瞻性和对照研究。


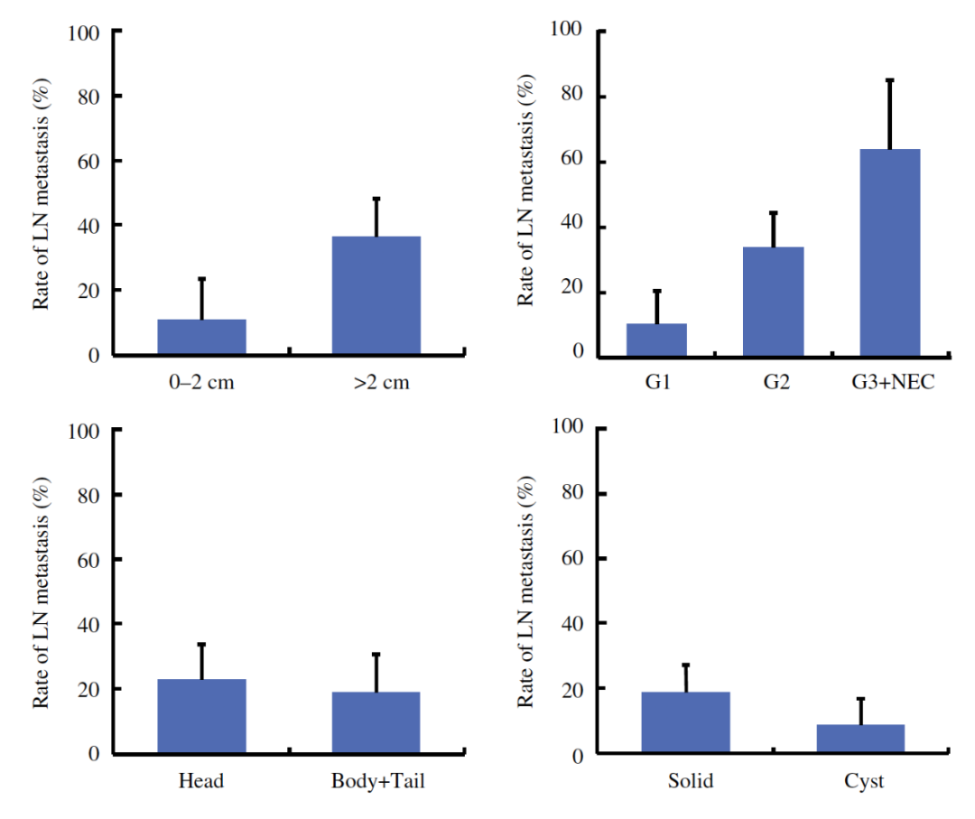
图5. 所有PanNET的淋巴结转移率按临床病理因素(肿瘤大小、肿瘤分化、肿瘤位置、肿瘤质地和肿瘤亚型)分层。柱状图表示合并的复发率,而误差线表示标准差。NF,无功能


图6. NF-PanNET淋巴结转移率,根据临床病理因素(肿瘤大小、肿瘤分化、肿瘤位置、肿瘤质地和肿瘤亚型)分层。柱状图表示合并的复发率,而误差线表示标准差。NF,无功能


图7. 比较所有淋巴结转移阳性和阴性PanNET的生存分析森林图。所有PanNET淋巴结转移与RFS(P<0.001)和OS(P<0.001)显著相关。RFS,无复发生存率;OS,总生存期


图8. 比较淋巴结转移阳性和阴性NF-PanNET的生存分析森林图。NF-PanNET淋巴结转移与低RFS(P<0.001)和OS(P<0.001)显著相关。RFS,无复发生存率;OS,总生存期


4.小胰腺神级内分泌肿瘤转移潜能的临床预测因素

Clinical Prognosticators of Metastatic Potential in Patients with Small Pancreatic Neuroendocrine Tumors


J Gastrointest Surg.  [IF=2.573]


虽然普遍认为T1(≤2cm)无功能胰腺神经内分泌肿瘤(NF-PanNET)应该采取观察策略,但T1肿瘤患者中定义不明确的亚组会发生转移。发表在J Gastrointest Surg 的该研究,旨在通过临床因素识别这些患者。


患者来自监测、流行病学和结果(SEER)数据库,且于1998年至2014年被诊断为NF-PanNET,大小≤2cm并接受了原发性肿瘤切除。进行二元logistic回归分析以评估与病理性淋巴结转移和全身转移相关的因素。


共鉴定612例T1 NF-PanNET患者。其中淋巴结转移72例(11.7%),远处转移(M1)35例(5.7%)。在多变量分析中,肿瘤位于胰体(OR 1.903,P=0.03)(OR 1.407,P=0.038)或胰尾(OR 1.258,P=0.04)(OR 1.612,P=0.021);肿瘤III-IV级(OR 2.042,P=0.022)(OR 5.379,P≤0.001);年龄较小(OR 0.963,P=0.01)(OR 0.919,P=0.009)分别与淋巴结转移和M1疾病相关。


尽管大多数低转移潜能的≤2cm NF-PanNET会选择观察等待,但高级别(III–IV)胰体/尾肿瘤的、年轻的患者转移性疾病的风险增加,表明应该优先进行个体化风险分层。


图9. 根据淋巴结状态分层的疾病特异性生存率(a)和总生存率(b)的Kaplan-Meir曲线


图10. 根据高危特征分层(胰体/尾和III级–IV)的患者与所有其他患者的疾病特异性生存率(a)和总生存率(b)的Kaplan-Meir曲线


5.CD47表达和CD163 + 巨噬细胞与胰腺神经内分泌肿瘤预后相关

CD47 expression and CD163+ macrophages correlated with prognosis of pancreatic  neuroendocrine tumor


BMC Cancer. [IF=3.15]


最近的研究表明,CD47和肿瘤相关巨噬细胞(TAMs)在各种人类恶性肿瘤的预后和免疫治疗中具有重要作用。然而,CD47的表达和CD163+ TAMs在PanNET中的临床意义仍不清楚。


在这项研究中,收集了47个分化良好的PanNET切除标本。用免疫组化法评估CD47和CD163+巨噬细胞的表达,并与临床病理特性相关联。


所有的PanNET和邻近的正常胰岛都出现了CD47的阳性染色。与正常胰岛相比,CD47在PanNET中呈过度表达(P = 0.0015)。在本组病例中,分别有36.2%、59.6%和48.9%的病例发现有淋巴结转移(LNM)、淋巴管浸润(LVI)和神经周围浸润(PNI)。有趣的是,具有LNM、LVI或PNI的PanNET的CD47的H分数明显低于没有LNM(P =0.035)、LVI(P=0.0005)或PNI(P=0.0035)的PanNET。疾病进展(复发/死亡)患者的PanNET也显示CD47的表达明显低于没有进展的患者(P=0.022)。相比之下,CD163+巨噬细胞的数量在LNM、LVI和PNI的病例中明显更高。


该研究数据表明,相对低的CD47表达和高的CD163+ TAMs可能作为PanNET预后不佳的指标。


图11. IHC检测人正常胰腺和PanNET中CD47的特征。a.CD47在正常胰腺组织(X100)中的表达。b.PanNET和癌旁正常胰腺组织中CD47表达的代表性图像(X200)。c.高倍视野下细胞膜和细胞质中的CD47表达(X400)。d.正常胰岛和PanNET中CD47的H评分。e、f和g显示PanNET(X200)中CD47染色的强度。h. PanNET(X400)中的CD163 + TAM。*显著性差异,p<0.05,非配对t检验


6.显微神经侵犯与胰腺神经内分泌肿瘤的侵袭性行为相关

Microscopic Invasion of Nerve Is Associated With Aggressive Behaviors in Pancreatic Neuroendocrine Tumors


Front Oncol.  [IF=4.848]


神经侵犯在癌症中的作用已有报道。很少有研究表明神经侵犯与NET患者的生存率相关。发表在Front Oncol 的该研究,旨在探讨PanNET中神经侵犯与侵袭性行为的关系。


排除活检和组织学资料缺失的患者后,回顾性分析197例PanNET手术患者的临床资料。获取人口学数据和组织学数据。侵袭性的定义是基于胰腺外侵犯,包括血管侵犯、器官侵犯和淋巴结转移。采用Logistic回归分析确定侵袭行为的危险因素。利用受试者工作特征(ROC)曲线来显示列线图在评估PanNET侵袭行为方面的性能。PanNET神经侵犯组淋巴结转移、器官侵犯、血管侵犯的发生率明显高于无神经侵犯组(P<0.05)。G3肿瘤较G1/G2更易发生神经侵犯(P<0.01)。校正了所有肿瘤和G1/G2肿瘤中可能的共同因素后,肿瘤大小、肿瘤分级和神经侵犯是影响侵袭行为的独立相关因素(P<0.05)。研究开发了两个列线图用于预测侵袭行为。整体人群ROC曲线下面积为0.84(95%CI:0.77~0.90),G1/G2 PanNET患者为0.84(95%CI:0.78~0.89)。


神经侵犯与PanNET的侵袭行为有关。基于肿瘤大小、分级和神经侵犯的列线图能良好的预测PanNET的侵袭行为。


表1. Logistic回归分析评估G3 PanNET患者的侵袭行为(n=50)


图12. PanNET侵袭行为的列线图(左)和校正曲线(右)。神经侵犯(神经)、肿瘤大小、肿瘤分级均纳入分析


图13. G1/G2期PanNET侵袭行为的列线图(左)和校正曲线(右)


图14. 受试者工作特征(ROC)曲线评估列线图在PanNET侵袭行为评估中的应用。整体人群曲线下面积为0.84(95%CI:0.78~0.89),G1/G2 PanNET患者曲线下面积为0.84(95%CI:0.78~0.89)


Net2107036


专家简介

王文权教授

复旦大学附属肿瘤医院

主持国家自然科学基金2项(国家级)、上海市自然科学基金1项(省部级)、获上海市卫计委优秀青年专科医师培养计划项目(2017-2020)、以及上海市科委优秀学术带头人计划帮扶项目(2018-2021)资助。


研究方向集中于“肿瘤微环境的异质性(间质化、血管生成、炎性/免疫浸润)及其临床转化研究。以第一/共同第一作者在SCI收录杂志发表原创性论文15篇,其中5分以上10篇,总影响因子大于90。


擅长胰腺及胆道良恶性肿瘤的诊治(胰腺癌、胰腺胆道及胃肠神经内分泌肿瘤、胆囊癌、胆管癌等),尤其是不能手术切除胰腺癌的综合治疗、胰腺及胆道癌手术切除后的辅助治疗、胰腺及胆道癌的术前新辅助治疗;胆道和肝脏肿瘤的综合治疗

本内容仅供医学专业人士参考


神经内分泌

分享到: 更多