当前位置:肿瘤瞭望>资讯>正文

内乳淋巴结放疗,鸡肋 or 鸡腿?这项随访15年的大型研究怎么看……

作者:肿瘤瞭望   日期:2020/11/24 22:53:35  浏览量:12626

肿瘤瞭望版权所有,谢绝任何形式转载,侵犯版权者必予法律追究。

编者按:内乳淋巴结是乳腺淋巴引流的第一站淋巴结,在乳腺癌的发生发展中扮演着重要角色。目前,临床对内乳淋巴结是否行放疗仍有较大争议。近日,发表于《柳叶刀肿瘤学》的EORTC 22922/10925大型3期临床试验表明,内乳和锁骨上内侧(IM-MS)放疗可显著提高15年DFS率和MDFS率,但不能转化为OS获益。

背景:几项研究的10年结果表明,乳腺癌患者术后局部或全部区域淋巴结放疗可提高无病生存率和无远处转移生存率,降低乳腺癌相关死亡率,并对总体生存率产生不同程度的影响。这项欧洲癌症研究与治疗组织(EORTC)随访15年的研究,旨在评价选择性内乳和锁骨上内侧(IM-MS)放疗对总生存率的影响。

 

方法:EORTC 22922/10925是一项随机3期试验,在13个国家的46个放疗中心进行,入组患者年龄≤75岁、经组织学证实为I~III期单侧乳腺癌且腋窝淋巴结肿大或原发肿瘤位于乳房内侧。手术包括乳房切除术或保乳手术及腋窝分期。患者通过集中最小化随机化分配(1:1)至IM-MS放疗组(50戈瑞分割为25次)和对照组(未进行IM-MS放疗)。

 

研究分层包括机构、绝经期状况、乳腺内原发肿瘤的部位、乳腺及腋窝手术类型、病理学T和N分期。患者和研究者为非盲分配。主要终点是根据意向治疗原则分析总体生存(OS)率。次要终点为无病生存(DFS)率、无远处转移生存(MDFS)率、乳腺癌死亡率、乳腺癌复发率和死因。随机分组后,随访持续20年。

 

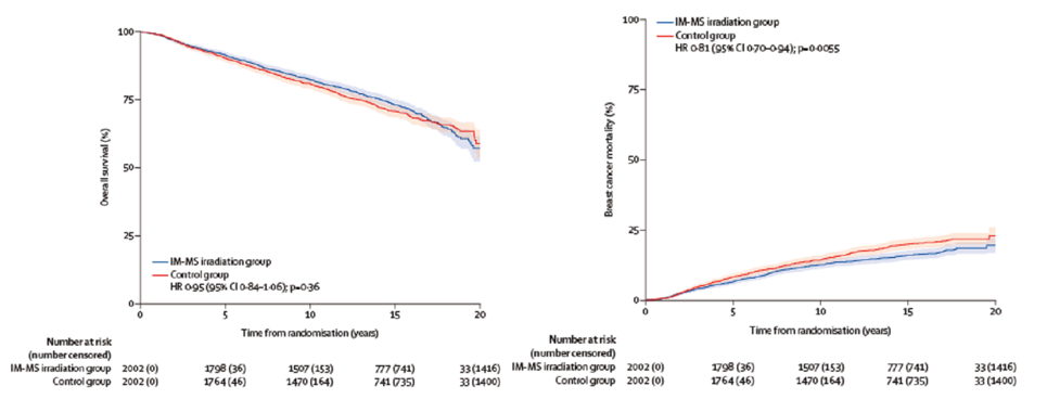
结果:1996年8月5日至2004年1月13日,共纳入4004例患者,其中IM-MS放疗组和对照组各2002例。平均随访15.7年(IQR 14.0-17.6),IM-MS放疗组和对照组分别有554例(27.7%)和569例(28.4%)死亡事件。IM-MS放疗组15年总生存率为73.1%(95%CI:71.0~75.2),对照组为70.9%(68.6~72.9)(HR=0.95,95%CI:0.84~1.06,P=0.36)。

 

IM-MS放疗组的乳腺癌复发率(24.5% vs 27.1%,HR=0.87,95%CI 0.77~0.98,P=0.024)和乳腺癌死亡率(16.0% vs 19.8%;HR=0.81,95%CI:0.70~0.94,P=0.0055)均显著低于对照组。

 

 

 

IM-MS放疗组与对照组的无病生存率(60.8% vs 59.9%;HR=0.93,95%CI:0.84~1.03,P=0.18)或无远处转移生存率(70.0% vs 68.2%;HR=0.93,95%CI:0.83~1.04,P=0.18)无显著差异。两组间的死亡原因相似。

 

 

结论:该研究随访15年的结果表明,在I-III期乳腺癌中,通过IM-MS照射可以显著降低乳腺癌死亡率和任何乳腺癌复发率。然而,这并不能转化为整体生存率的提高。

 

参考资料:
Poortmans PM, Weltens C, Fortpied C, et al. Internal mammary and medial supraclavicular lymph node chain irradiation in stage I-III breast cancer (EORTC 22922/10925): 15-year results of a randomised, phase 3 trial [published online ahead of print, 2020 Nov 2]. Lancet Oncol. 2020;S1470-2045(20)30472-1. doi:10.1016/S1470-2045(20)30472-1

本内容仅供医学专业人士参考


乳腺癌

分享到: 更多