当前位置:肿瘤瞭望>资讯>正文

ESMO TAT会议丨TNBC免疫联合化疗:基线PD-L1 mRNA可预测疗效

作者:肿瘤瞭望   日期:2021/3/8 11:15:32  浏览量:11718

肿瘤瞭望版权所有,谢绝任何形式转载,侵犯版权者必予法律追究。

在日前举行的2021年ESMO靶向抗癌治疗(ESMO TAT)会议上,一项研究表明,对于不可切除局部晚期三阴性乳腺癌(TNBC),基线检查血浆外泌体PD-L1 mRNA水平较高的患者对阿替利珠单抗联合白蛋白紫杉醇的疗效更好。此外,患者成功治疗后的PD-L1 mRNA水平降低,而治疗后疾病进展的患者PD-L1 mRNA水平则增加。

由于TNBC缺乏可靠的生物标志物,罗马大学的Lucrezia Raimondi教授及其团队进行了这项研究,以评估血浆来源的外泌体中PD-L1 mRNA拷贝数是否可以预测治疗早期对抗PD-L1抗体的反应。


该研究纳入77例不可切除的局部晚期TNBC患者的资料,这些患者接受了阿替利珠单抗联合白蛋白紫杉醇治疗。在基线检查时以及开始治疗后28天和56天采集血样。采用Bio-Rad QX100数字液滴PCR系统和exoRNeasy试剂盒测定血浆外周血PD-L1 mRNA水平,并根据RECIST v1.1标准评估疗效。


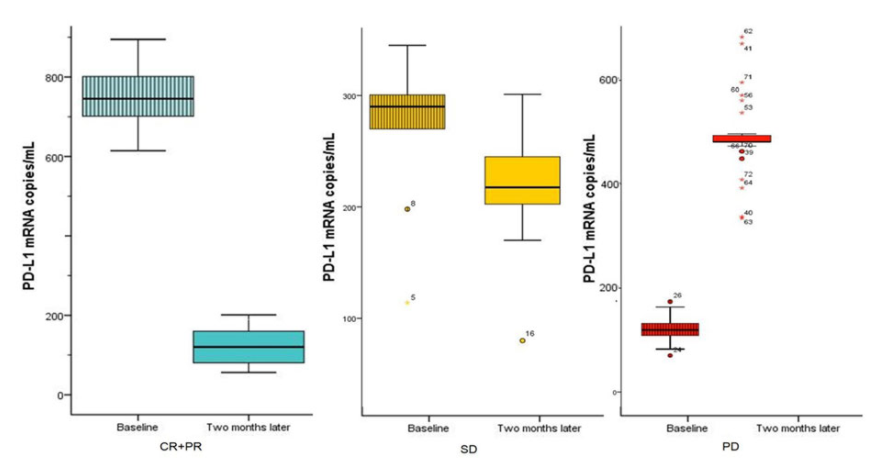
基线时PD-L1 mRNA水平与治疗反应一致?

在28例达到完全缓解(CR)和部分缓解(PR)的患者中,PD-L1 mRNA平均水平显著高于49例稳定疾病(SD)或进展疾病(PD)的患者(785.6 vs 114.7 copies/ml,P<0.001)。


PD-L1 mRNA水平随治疗而降低。CR/PR患者的基线PD-L1 mRNA平均水平为747.6±121.1 copies/ml,在治疗2个月降至175.4 copies/ml(P=0.001)。SD患者的PD-L1 mRNA水平从基线到治疗2个月保持相对稳定,分别为270 copies/ml和217.5 copies/ml(P=0.614)。PD患者的PD-L1 mRNA水平随着治疗的进行而增加,从基线时的124.1 copies/ml增加到治疗2个月时的494.3 copies/ml(P<0.001)。


▲不同疗效状态患者基线及治疗2个月后的PD-L1 mRNA水平


治疗后PD-L1 mRNA增加与生存期缩短相关?

阿替利珠单抗联合白蛋白紫杉醇治疗后,PD-L1 mRNA水平增加的患者无进展生存期(PFS)显著缩短(P=0.007)。这些患者的总生存期(OS)为5个月(范围为2-7个月,95%CI:1.1~6.1)。相比之下,在治疗后PD-L1 mRNA水平无明显增加的患者中,其OS延长了一倍多(范围为8-15个月)(P=0.001)。

研究结论


这些数据表明,在不可切除的局部晚期TNBC患者中,外泌体PD-L1 mRNA水平与阿替利珠单抗联合白蛋白紫杉醇的疗效显著相关。


参考文献:
23P – Raimondi L, Raimondi FM, Lazzeroni R, et al. Prediction of response to atezolizumab plus nab-paclitaxel in unresectable locally advanced triple negative breast cancer (TNBC): The clinical usefulness of PD-L1 mRNA expression in plasma-derived exosomes. ESMO Targeted Anticancer Therapies (TAT) Virtual Congress (1-2 March 2021).

 

本内容仅供医学专业人士参考


乳腺癌

分享到: 更多