ASH中国之声丨姜尔烈教授团队:allo-HSCT预处理方案在R/R AML和老年髓系肿瘤患者中的优化与探索

作者:肿瘤瞭望   日期:2023/12/13 16:55:51  浏览量:11815

肿瘤瞭望版权所有,谢绝任何形式转载,侵犯版权者必予法律追究。

异基因造血干细胞移植(allo-HSCT)是治疗血液系统恶性疾病的主要方法。预处理是整个移植过程中的重要一环。适宜的预处理对于进一步杀伤体内残留肿瘤细胞、提高移植成功率、降低移植后并发症发生率和复发率都有重要作用。在2023第65届美国血液学年会(ASH)上,中国医学科学院血液病医院移植中心姜尔烈教授团队报告了两项研究,分别对难治性/复发性(R/R)急性髓系白血病(AML)和高风险老年髓系肿瘤患者,在接受allo-HSCT时的预处理方案进行了优化与探索,以期提高这两部分人群的治疗效果。本刊特邀请姜教授为我们分享了这两项研究的主要成果及其临床意义。

编者按:异基因造血干细胞移植(allo-HSCT)是治疗血液系统恶性疾病的主要方法。预处理是整个移植过程中的重要一环。适宜的预处理对于进一步杀伤体内残留肿瘤细胞、提高移植成功率、降低移植后并发症发生率和复发率都有重要作用。在2023第65届美国血液学年会(ASH)上,中国医学科学院血液病医院移植中心姜尔烈教授团队报告了两项研究,分别对难治性/复发性(R/R)急性髓系白血病(AML)和高风险老年髓系肿瘤患者,在接受allo-HSCT时的预处理方案进行了优化与探索,以期提高这两部分人群的治疗效果。本刊特邀请姜教授为我们分享了这两项研究的主要成果及其临床意义。
 
01
改良的马法兰-克拉立滨-白消安-环磷酰胺(MCBC)预处理方案可改善R/R AML患者经allo-HSCT后的无复发生存
第一作者:张潇予
通讯作者:姜尔烈
 
背景:
 
allo-HSCT是R/R AML患者唯一可能治愈的治疗方法。然而,该部分患者长期生存结果仍较差,仍需进一步提高疗效。其中,进一步优化预处理方案以根除白血病原始细胞和减少早期复发是一项重要措施。在这项研究中,我们对基于双烷化剂的调理方案进行了改进,即MCBC方案(马法兰、克拉屈滨、白消安和环磷酰胺的组合)。本研究旨在探讨MCBC预处理方案在R/R AML患者allo-HSCT中的疗效及安全性(注册号:ChiCTR2000029936)。
 
方法
 
本研究为一项前瞻性、多中心临床试验,在国内13家三级甲等医院开展进行,纳入了自2020年7月至2022年10月接受allo–HSCT治疗的R/R AML患者。所有入组患者均接受MCBC预处理方案(MCBC组):马法兰60 mg/(m2·d),第-9~-8天;克拉屈滨5 mg/m2/d,第-7~-5天;白消安3.2 mg/(kg·d),第-5~-3天;环磷酰胺30 mg/(kg·d),第-2~-1天。同时,研究还回顾性收集了应用传统预处理方案即Bu/Cy2进行allo-HSCT的R/R AML患者的资料作为历史对照(Bu/Cy2组)。
 
结果:
 
这项多中心MCBC试验前瞻性地纳入了89例R/R AML患者,中位年龄36岁(11~59岁)。仅39.33%(35/89)的患者在HSCT时达到血液学缓解。单倍体相合HSCT(HID-HSCT)是(n=62,69.67%)是HSCT的主要类型。黏膜炎是发生率较高的预处理相关不良反应(65.17%),但多为轻度且耐受性良好。所有患者在移植后均获得血液学完全缓解(CR)(100%),且在造血重建日微小残留病(MRD)清除率达到85.39%,表明MCBC方案具有良好的抗白血病能力。Ⅱ~Ⅳ度急性GVHD发生率为50.56%,其中重度aGVHD(Ⅲ~Ⅳ)发生率仅为8.99%。MCBC组与Bu/Cy2组在年龄、性别、疾病状态等基线信息相似。MCBC组中位随访时间为431.29天(95%CI:437.34~570.65),Bu/Cy2组中位随访时间为1236天(95%CI:1169.32~1302.68)。MCBC组和Bu/Cy2组患者的估计1年总生存率(OS)、无复发生存率(RFS)分别为(71.4±5.19)%vs.(65.2±4.45)%(P=0.13)、(67.5±5.29)%vs.(56.2±4.62)%(P=0.06)。值得注意的是,MCBC组的生存优势在估计的两年数据中得到了扩大:两组估计2年OS、RFS分别为(66.9±5.87)%vs.(52.4±4.47)%、(62.1±6.11)%vs.(45.6±4.69)%。我们进一步进行了标志性生存分析(landmark analysis),结果显示,与Bu/Cy2组相比,MCBC组移植后500天内具有无复发生存优势(P=0.05)。
 
 
结果:
 
本研究证实了MCBC预处理方案在R/R AML中具有优异的抗白血病能力和良好的安全性。
 
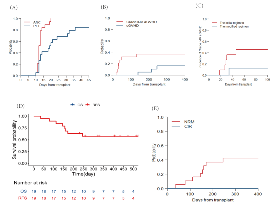
02
维奈克拉联合地西他滨预处理方案在高风险老年髓系肿瘤患者allo-HSCT中的疗效
第一作者:郑欣慧
通讯作者:姜尔烈
 
这项前瞻性临床研究主要针对接受allo-HSCT的高复发风险老年患者,将维奈克拉和地西他滨添加到清髓性预处理方案中。2021年12月至2023年2月期间,该研究纳入19名患者,中位随访期为258天(35~544天)。在初始方案(n=11)中,维奈克拉的给药剂量为400 mg/d,-14~-1天;而在改进方案(n=8)中,维奈克拉的给药剂量为400 mg/d,-14~-5天。地西他滨的剂量为20 mg/m2/d,-7~-3天。观察到的3/4级不良事件包括血液学事件、高血压、感染、过敏和淀粉酶升高。
 
在整个队列中,6个月总生存率(OS)和无复发生存率(RFS)分别为63%(95%CI:45~89)和63%(95%CI:45~89)。6个月非复发死亡率(NRM)为37%(95%CI:16~58),而累积复发率(CIR)为0。100天II~IV级急性移植物抗宿主疾病(aGVHD)和III~IV级aGVHD的发生率分别为31%(95%CI:12~53)和26%(95%CI:9~47)。结果表明该方案的III~IV度aGVHD发生率相对较高,因此不适合老年患者使用。因此,需要进一步开展高质量的研究,以改进确诊为髓系肿瘤的高风险老年患者的治疗方案。
 
 
研究者观点:
 
尽管维奈克拉联合地西他滨的预处理方案显著降低了血液学和分子学复发率,但其临床应用却受到了重度aGVHD和NRM发生率升高的阻碍。因此,还需要进行更多的研究,以完善针对高危高龄髓系恶性肿瘤患者的治疗方案。
 
姜尔烈教授
医学博士,主任医师,博士生导师
中国医学科学院血液病医院(中国医学科学院血液学研究所)干细胞移植中心主任
中华医学会血液学分会造血干细胞应用学组副组长
中国抗癌协会血液肿瘤专业委员会常务委员,造血干细胞移植与细胞治疗学组副组长
CSCO自体造血干细胞移植工作组副组长
天津市抗癌协会常务理事
天津市血液与再生医学学会副理事长
中华血液学杂志、中国综合临床、白血病&淋巴瘤等杂志编委

本内容仅供医学专业人士参考


髓系肿瘤

分享到: 更多